온도는 우리의 일상에서 매일 접하는 기후의 근본적인 요소이지만, 그 단위에 얽힌 이야기는 생각보다 흥미롭다. '화씨'와 '섭씨'라는 두 가지 온도 척도는 각기 다른 문화와 역사를 담고 있다. 과연 당신은 화씨와 섭씨 중 어느 쪽이 더 익숙한가? 그리고 그 선택의 배경은 무엇일까?
오늘은 온도 척도의 기원과 그에 얽힌 매혹적인 이야기들을 탐구하고자 한다. 함께 온도라는 개념을 새로운 시각에서 바라보는 여정을 시작해 보자.
화씨와 섭씨: 온도 척도의 역사

온도는 우리의 일상에서 자주 접하는 개념이지만, 그 단위와 그 역사를 깊이 들여다볼 기회는 드물다. 특히 '화씨(Fahrenheit)'와 '섭씨(Celsius)'라는 두 가지 온도 척도는 전 세계에서 널리 사용되고 있으며, 각기 다른 역사적 배경을 지닌 채로 오늘날까지 활용되고 있다.
온도의 기초: 섭씨 탄생
섭씨 척도는 1742년, 스웨덴의 천문학자 '안데르스 셀시우스(Anders Celsius)'에 의해 제안되었다. ' ~ °C '의 C가 바로 그의 이름 셀시우스에서 유래되었다. 그는 물의 물리적 성질을 기준으로 온도를 측정하는 방식을 개발하였고, 그 기준으로 물의 얼음점은 0도, 끓는점은 100도로 설정하였다.
이러한 섭씨의 시스템은 과학적이고 직관적인 접근법을 제공하며, 물의 상태 변화에 따라 온도를 쉽게 이해할 수 있도록 하였다. 현재 섭씨 척도는 대부분의 국가에서 표준으로 채택되었으며, 특히 과학 및 기상학 분야에서 널리 사용되고 있다.
개선된 척도: 화씨의 등장
화씨 척도는 1724년, 독일의 물리학자 '다니엘 가브리엘 파렌하이트(Daniel Gabriel Fahrenheit)'에 의해 개발되었다. ' ~ °F '의 F가 바로 그의 이름 파렌하이트에서 유래되었다. 화씨는 수은 온도계를 사용하여 온도 측정 방식을 개선하고, 그에 따른 온도 척도를 제시하였다.
섭씨가 이미 존재했음에도 불구하고 화씨가 만들어진 이유는 주로 온도 측정의 정확성과 기술적 필요성에 있었다. 화씨 척도에서 물의 얼음점은 32도, 끓는점은 212도로 사이를 180 등분해 하나의 온도 단위로 설정되었으며 섭씨가 100등분을 기준으로 한 것에 비해 더욱더 세밀하게 온도 변화를 측정할 수 있다는 장점이 있었다.
이는 주로 미국과 몇몇 카리브해 국가에서 사용된다. 화씨는 일상적인 기상 예보와 기온 측정에서 여전히 중요한 역할을 한다.
세계 온도 척도의 표준으로 자리 잡은 섭씨

전 세계적으로 섭씨를 사용하는 국가는 약 100여 개국 이상이며, 유럽, 아시아, 아프리카, 남미 등 대부분의 지역에서 섭씨를 표준으로 채택하고 있다. 일본, 중국, 독일, 프랑스, 영국, 캐나다 등에서 일상적인 기상 예보나 과학적 연구에 섭씨를 사용한다.
반면, 화씨를 주로 사용하는 국가는 미국이다. 미국은 여전히 화씨를 공식적으로 사용하는 몇 안 되는 국가 중 하나로, 일상생활에서 날씨, 요리, 의학 등 여러 분야에서 화씨 단위를 사용하고 있다. 일부 카리브해 국가들 역시 화씨를 사용하고 있다.
미국이 화씨를 고수하는 이유

미국이 화씨를 사용하는 이유는 여러 역사적 및 문화적 요인에 뿌리를 두고 있다. 첫째, 18세기 초반 화씨 척도가 개발될 당시, 미국은 영국의 식민지였다. 당시 영국에서 화씨 척도가 널리 사용되고 있었고, 미국의 초기 정착민들은 그 영향을 받아 화씨를 채택하게 되었다.
둘째, 화씨 척도는 미국의 기후에 적합하도록 설계된 측정 방식이다. 화씨 척도는 섭씨보다 작은 범위로 기온을 세밀하게 나타낼 수 있어, 특히 여름철 고온의 기온 변화를 더욱 정확하게 표현하는 데 유리하다. 예를 들어, 70도 화씨는 약 21도 섭씨에 해당하지만, 80도 화씨는 약 27도 섭씨에 해당하는 등, 더 세밀한 기온 변화를 표현할 수 있다. 이러한 점은 미국의 농업, 건축, 에너지 효율성 분야에서도 중요한 역할을 한다.
셋째, 미국의 독립 이후, 국가의 자존심과 독립적인 정체성을 강조하기 위해 화씨 척도를 고수하게 되었다. 외부의 영향을 최소화하고, 자국의 시스템을 유지하려는 의도가 반영된 결과다. 화씨는 미국의 문화적 상징으로 자리 잡으며, 국민들은 이를 일상적으로 사용하게 되었다.
두 척도의 차이: 어떻게 다를까?
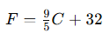
섭씨와 화씨는 각각의 기준점이 다르므로 온도를 변환하는 공식을 사용해야 한다. 섭씨에서 화씨로 변환할 때는 다음 공식을 사용한다:

반대로 화씨에서 섭씨로 변환할 때는:

이 공식들은 두 척도를 상호 변환할 수 있게 해 주며, 서로 다른 시스템 간의 관계를 명확히 이해할 수 있도록 한다.
마치며
화씨와 섭씨는 오늘날, 각기 다른 문화적 상징으로 자리 잡았다. 섭씨를 사용하는 국가들이 많지만, 미국은 여전히 화씨를 고수하고 있다. 이는 미국의 독립성과 자존심을 상징하는 요소로 작용하기도 한다. 역사적으로 미국은 독일과 영국의 영향을 받지 않으려 했고, 그 결과로 화씨가 일상생활에 뿌리내리게 되었다.
그러나 두 척도 간의 차이는 때로 혼란을 초래하기도 한다. 예를 들어, "오늘 기온이 50도"라고 말했을 때, 섭씨 기준이라면 꽤 따뜻한 날씨로 해석될 수 있지만, 화씨 기준이라면 매우 추운 날씨를 의미한다. 이는 서로 다른 척도를 사용하는 국가 간의 소통에서 종종 오해를 일으킬 수 있다.
'💡 Science > Natural Sciences 자연과학' 카테고리의 다른 글
| 열매가 아니라고? 우리가 몰랐던 딸기의 비밀 (20) | 2025.02.05 |
|---|---|
| 전세계가 희토류에 주목하는 이유 (+의미, 각 국 매장량, 국제정세 등) (14) | 2025.02.04 |
| 2032년, 소행성 2024 YR4가 우리를 위협한다? (10) | 2025.01.29 |
| 가창오리, 생태적 습성과 버드스트라이크 (7) | 2025.01.26 |
| 페니실린, 곰팡이의 반란: 의료 혁신의 서사시 (2) | 2025.01.03 |
}